Föregående kapitel hittar du här.
En innehållsförteckning med länkar till de olika kapitlen hittar du här.
Det är, som nämndes i föregående kapitel, relativt vanligt att höra att miljölarm har överdrivits i alla tider. Ett uppenbart bevis är förstås att de spådda undergångarna har uteblivit. I dessa sammanhang hamnar inte sällan miljöorganisationer och nyliberala tankesmedjor i luven på varandra. Naturligtvis inte för att någon av dem avsiktligt vill förstöra jorden vi lever på, men när det gäller miljöproblem har de ofta vitt skilda meningar om hur problemen löses på bästa sätt.
Men även om det kan vara frustrerande är det helt normalt att det finns olika åsikter i en fungerande demokrati. Mer problematiskt är att dessa grupper påfallande ofta har olika uppfattning om vad vetenskapen egentligen säger om miljöhoten och hur allvarliga de är. Likaså tycks de ha olika åsikter om hur miljöförbättringar faktiskt har kommit till stånd historiskt sett, vilket i sin tur förstås påverkar hur man vill definiera och angripa problemen bakom klimatförändringarna.
Johan Norberg är en känd svensk liberal debattör som tidigare har jobbat hos Timbro. Han är även senior fellow vid den amerikanska tankesmedjan Cato Institute. Utifrån en undersökning gjord av Demoskop skrev han 2005 essän Rubriker som gör oss rädda utgiven av Timbro.[1] Han inledde med ett citat från Stephen Schneider, en känd miljödebattör och tillika professor i biologi:
”[För att kunna rädda miljön] måste vi få ett brett stöd och fånga allmänhetens uppmärksamhet. Det förutsätter naturligtvis mängder av mediebevakning. Därför måste vi kunna erbjuda skrämmande scenarier, göra förenklade, dramatiska uttalanden och hålla igen med våra eventuella tvivel … Var och en av oss måste hitta den rätta balansen mellan slagkraftighet och ärlighet.”
Det låter cyniskt och en aning skrämmande. Men även detta citat är taget ur sitt sammanhang. Och det har missbrukats av många genom åren, exempelvis av ekonomiprofessorn Julian Simon, en tongivande libertariansk debattör i dessa frågor som jag återkommer till i senare kapitel. Schneiders citat kommer från en intervju 1989 och lät så här i sin helhet:
”Å ena sidan är vi som vetenskapsmän etiskt bundna till den vetenskapliga metoden, och lovar i själva verket att säga sanningen, hela sanningen och ingenting annat – vilket innebär att vi måste inkludera alla tvivel, varningar, om och men. Å andra sidan är vi inte bara vetenskapsmän utan också människor. Och som de flesta andra vill vi se världen som en bättre plats, vilket i detta sammanhang översätts till vårt arbete med att minska risken för potentiellt katastrofala klimatförändringar.
För att göra det behöver vi få ett brett stöd för att fånga allmänhetens uppfattning. Det innebär naturligtvis att man får massor av mediabevakning. Så vi måste bjuda på skrämmande scenarier, göra förenklade, dramatiska uttalanden och inte nämna några tvivel vi kan ha. Denna ”dubbla etiska bindning” som vi ofta befinner oss i kan inte lösas med någon formel. Var och en av oss måste bestämma vad den rätta balansen är mellan att vara effektiv och att vara ärlig. Jag hoppas att det betyder att vara både och.”[2]
Det är måhända inte så elegant uttryckt men det Schneider försöker förklara är alltså hur svårt det kan vara att på kort tid förklara komplexa problem med potentiellt allvarliga konsekvenser. Jag är övertygad om att alla som varit i denna situation förstår vad Schneider menar, och han påpekar också att han hoppas att det inte leder till osakliga överdrifter. I själva verket argumenterar han alltså tvärtemot det Norberg försöker påskina.
Norberg sammanfattade i sin essä också många miljöliberalers historiebeskrivning:
”Under de senaste 25 åren har världen genomgått en fantastisk utveckling. U-ländernas inkomster har fördubblats, den extrema fattigdomen och förekomsten av barnarbete har halverats. Medellivslängden har ökat och spädbarnsdödligheten minskat. Med stigande inkomster har vi också äntligen börjat komma till rätta med många svåra miljöproblem. När man inte längre måste välja mellan sina barns överlevnad och en god miljö börjar man även bry sig om det senare. Ökande välstånd har givit upphov till en miljörörelse som gjort oss medvetna om problemen, och tekniken har givit oss möjligheter att möta dem. De mest dödliga miljöproblemen, vattenburna sjukdomar och lung- och andningsproblem orsakade av inomhuseldning, är utrotade i de industrialiserade länderna. Dessutom har vi de senaste decennierna tryckt tillbaka industrialismens miljöproblem – skogarna växer, vi andas in renare luft och vi badar och fiskar i renare vatten än våra föräldrar.”
Beskrivningen går lite hand i hand med det budskap Hans Rosling, läkare och professor i internationell hälsa, trollband oss med i sina föreläsningar om att världens tillstånd var betydligt bättre än vad nyhetsflödet fick oss att tro.
Det är förstås viktig information att ta till sig när man hör alla undergångsscenarier. Norbergs beskrivning är ju i det stora hela rätt träffande också. Men det är i mina ögon ändå lite väl rosenskimrande beskrivningar av verkligheten. Och det saknas en rejäl pusselbit. Nämligen hur det har gått till när allt har blivit bättre på miljöområdet. Saker har inte fixat sig självt bara för att vi har fått kunskap om problemen – en betydande del av alla miljödebatter handlar om grupperingars olika syn på om vi har tillräcklig kunskap i den aktuella frågan för att agera eller inte.
I alla komplexa frågor går det att hitta överdrifter och extremer. – från båda läger. Ibland behöver man också ställa sig frågan vilka som egentligen har varit de värsta alarmisterna i dessa debatter.
Men innan man förlöjligar FN:s miljöprogram med hjälp av ett tidningsurklipp, som beskrivits i inledningen, är det en nödvändighet att veta hur situationen såg ut vid tiden för konferensen i Stockholm 1972. DN:s artikel med Strongs alarmistiska uttalande är förstås utmärkt ammunition i en miljödebatt, men att använda liknande uttalanden som bevis för att det då inte existerade extremt allvarliga miljöproblem är ren och skär populism.
Dilution is the solution to pollution.
Det kan idag vara svårt att förstå hur aningslöst kemikalier och utsläpp hanterades långt in på 1960 och 70-talen. En glimt från dåtiden kan man se i en instruktionsfilm om sjövett från svenska myndigheter 1964. I den visas hur man ska paketera sitt skräp innan man med hjälp av stenar sänker ner det i havet, detta för att förhindra att skräpet hamnar på stränderna.
Devisen syns det inte, finns det inte tycktes gälla. Bara man spädde ut gifterna i oändligheterna av hav och atmosfär eliminerades riskerna. Man dumpade exempelvis stora mängder industriavfall i Östersjön helt lagligt, bland annat vid Landsortsdjupet där halterna av föroreningar fortfarande är höga. Men det var långt ifrån den enda platsen där detta har skett. Utanför Sundsvall ska uppemot 23 000 tunnor med kemiskt avfall, varav tonvis med kvicksilver, ha dumpats. Miljölagstiftningen kom först 1969 men just den här dumpningsplatsen låg på internationellt vatten som då helt saknade miljökonventioner. En del av dessa tunnor håller nu på att rosta sönder.[3]
Det var också under 1960-talet flera av våra mest kända miljöproblem började uppenbara sig.
2:1 Smog, bilavgaser och blytillsatser
Hösten 1943 drabbades Los Angeles av en svårartad smog som nästan helt skymde solen. Tjugo år senare rapporterades 212 dagar då smogen i staden var så pass omfattande att ögonen irriterades.
1952 beräknas tusentals ha dött när London drabbades av samma sak. Likaså var New York under november 1966 belägrat av den hälsoskadliga dimman under tre dagar. En studie kom fram till att 168 personer dog och mängder andra fick andningsproblem. Staden hade drabbats flera gånger tidigare och det gällde de flesta, om inte alla, stora städer i USA.
Länge lades skulden enbart på fabriker och koleldning. Röken syntes ju från alla skorstenar och man började bland annat förlänga dessa för att bättre sprida ut utsläppen. Men problemen fortsatte. Arie Haagen-Smit, professor i biokemi, kunde snart visa att solljus fick oförbrända kolväten och kväveoxider från bilavgaser att reagera och bilda hälsofarligt ozon som sticker i ögon och hals.[4] Bilindustrin kritiserade hypotesen och tyckte inte att bevisen höll. De ifrågasatte sambandet långt efter det att forskare inom akademin mer eller mindre ansåg det vara vedertagen fakta.[5]
I USA ökade trycket på biltillverkarna att få ner utsläppen men i praktiken hände inte mycket. Det blev känt att några av de större bilbolagen i USA slutit ett avtal med varandra där de lovat att inte konkurrera inom detta område och att eventuella förbättringar skulle lanseras samtidigt. De skulle även systematiskt ha köpt andra företags patent för att hindra att nya lösningar nådde marknaden. Det skulle finnas tillgänglig teknik som bilbolagen valt att inte installera. Det var i alla fall vad åklagaren hävdade när amerikanska myndigheter 1969 stämde American Motors, Chrysler, Ford, och General Motors, tillsammans med lobbygruppen Automobile Manufacturers Association (AMA). De anklagades för att under sexton år (1953–1969) ha konspirerat för att fördröja utsläppsminskade åtgärder. Ett rättsfall som fick smeknamnet The smog conspiracy.
AMA:s advokater förhandlande intensivt med justitiedepartementet och till slut kom de fram till en utomrättslig uppgörelse. Det innebar att ingen skulle behöva erkänna någon skuld och att allt utredningsmaterial hemligstämplades.
Men trots protester införde Nixon i alla fall Clean Air Act 1970 där utsläppen reglerades. Flera regleringar skulle följa.
Blytillsatser i bensin hade börjat användas redan på 1920-talet för att avhjälpa en del tekniska problem (se kapitel 8.1). Ethyl Corporation, det vill säga tillverkarna, bedyrade att användningen inte medförde några risker för allmänheten. Detta trots att det varit känt i evigheter att bly kan vara hälsoskadligt.
1965 visade geologen Pattersons resultat att användningen av bly i bensin hade ökat människors exponering för bly dramatiskt. Han ansåg att stora delar av befolkningen låg väldigt nära gränsen för blyförgiftning. Likaså hävdade han att de gränser som då ansågs vara en säker nivå inte hade något direkt vetenskapligt stöd. Industrin kritiserade detta hårt och kämpade emot regleringar som beskrivs i kapitel 8.1.
2:2 Kvicksilver
Redan på 1800-talet användes oorganiska kvicksilverföreningar för att bekämpa svampangrepp på böndernas utsäde. Men utvecklingen gick snabbt framåt och på 1930-talet fanns produkter där den aktiva beståndsdelen bestod av kvicksilver kopplat till korta organiska molekyler (”kolkedjor”). I Sverige togs medlet Panogen i bruk 1938 och bönder i andra länder tog snart efter då medlet visade sig fungera utomordentligt bra. Det skulle visa sig ödesdigert.
I Sverige noterades under 1950-talet att många fågelpopulationer började minska i antal. Det gällde särskilt fröätande fåglar i odlingslandskapen. Många individer uppträdde märkligt, de tappade koordinationsförmågan och slutade äta. Likaså syntes rovfåglar som inte längre kunde flyga. Allt fler hittades döda. Det var dock först 1958 man i forskarvärlden började misstänka att metylkvicksilver kunde vara orsaken.
Analys av fjädrar från uppstoppade fåglar på muséer visade att kvicksilverhalterna i många arter sakta hade börjat stiga sedan början på 1940-talet. Det var också då man började använda dessa bekämpningsmedel.
Det var dock inte bara fåglar som drabbades. I fattigare länder rapporterades även om hundratals mänskliga dödsfall orsakat av kvicksilverförgiftning som kunde härledas till betning av utsäde.
Kvicksilver användes även inom en lång rad kemiska processer i industrin. Flera tragedier orsakade av utsläpp utspelade sig under den här tiden. En av de mest kända inträffade i Japan 1956 och gav upphov till vad som kommit att kallas Minamatasjukan. Symptomen är ataxi (svårt att kontrollera rörelser), domningar i händer och fötter, allmän muskelsvaghet, nedsatt syn, nedsatt hörsel och svårigheter att artikulera ord. I extrema fall leder det till psykisk störning, förlamning, koma och död inom några veckor från de första symptomen. Många drabbades och ett par tusen har konstaterats dött i följderna i Japan.
Svenska forskare visade att oorganiskt kvicksilver från industriutsläpp kunde omvandlas till metylkvicksilver i sjöars bottensediment. Detta tas sedan upp i skaldjur och fiskar och förs vidare i näringskedjan. Det var vad som hade hänt i Minamata. Det innebar också att gamla utsläpp av oorganiska kvicksilverföreningar, som visserligen var problematiska i sig, kunde omvandlas till än mer giftiga föroreningar och utgöra ett hot under mycket lång tid då kvicksilver är ett grundämne som inte bryts ner.
Användandet av kvicksilver hade stadigt ökat under 1960-talet och man kunde nu konstatera att det var vida spritt i naturen. Tonvis blev blev dumpat även i Sverige.
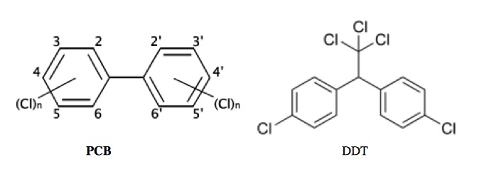
2:3 Det mystiska miljögiftet
1964 fick Sören Jensen, kemist vid Stockholms universitet, i uppdrag att ta reda på hur exponerade människor och vilda djur var för olika klorerade föroreningar, och då särskilt DDT och dess nedbrytningsprodukter.[6] Men han stötte snart på problem. Okända föroreningar störde analyserna.
Prover från gäddor samlades in och visade på en klar gradient där de från landets södra delar innehöll högre halter av de okända föroreningarna än de från norr. Likaså kunde han visa att föroreningarna fanns i högre halter ju högre upp i näringskedjan man kom. Han tog prov från sin fru och barn och föroreningarna hittades även där.
Misstankarna om att det var artefakter eller nedbrytningsprodukter från någon av alla de nya klorerade bekämpningsmedel som användes då fick han snart stryka. På Nationalhistoriska muséet fanns bevarade havsörnar ända från 1800-talet och efter analys av fjäderprover kunde han se att föroreningarna fanns från tiden innan DDT och liknande klorerade bekämpningsmedel hade börjat användas.
Men han kom inte längre än så. Det fanns då inte någon analys som kunde ta honom vidare. Det skulle ta två år innan gåtan fick sin lösning. En död havsörn hittades i Stockholms skärgård med extremt höga halter av föroreningarna. Han analyserade prover med hjälp av senaste versionen av så kallad GC-MS-teknik.
Det visade sig vara polyklorerade bifenyler, mer känt som PCB. Det stod snart klart hur enormt spridda de var i miljön, även på avlägsna platser som polarområdena. Och att de hade väldigt negativa effekter på faunan.
Det som gjort kemikalierna så användbara i en uppsjö av applikationer var också det som gjorde dem så problematiska. De är väldigt stabila och bryts inte ner i naturen. Än idag finns de kvar, mer än fyrtio år efter förbuden.
Många incidenter inträffade med PCB och liknande ämnen under denna tid. Mest känt är nog vad som kallas Yushō – oljesjukan i Japan 1968.[7] Läckage från utrustning kontaminerade risolja och tusentals människor insjuknade. Miljontals kycklingar avled när de också fick i sig av oljan.
2:4 Pesticider och andra kemikalier
I början på 1900-talet togs väldiga utvecklingskliv inom allt som hade med kemi att göra. Man kom exempelvis på att om man reagerade ”restkemikalier” från oljeraffinaderier med klor eller brom fick de nya och fantastiska egenskaper. PCB är ett sådant exempel, men det finns ett otal andra.
Klorerade organiska föreningar blev också vanliga som nya bekämpningsmedel. DDT är utan tvekan det mest kända exemplet. De flesta tänker säkert på malariabekämpning men de största mängderna DDT användes som bekämpningsmedel i jord- och skogsbruk.
Under 1950-talet formligen exploderade användningen av dessa ämnen och det tycktes inte finnas några problem. Skördarna växte, böndernas liv underlättades och farliga sjukdomar som malaria försvann på många platser. Men mörka moln hopade sig vid horisonten.
Man upptäckte att insekter utvecklade resistens. Fåglar fick tunnare ägg och klarade inte att reproducera sig. Maskätande fåglar dog i skakande konvulsioner efter besprutning med DDT. ”Årskullar” av lax blev nästan helt eliminerade 1954 och 1956 i floden Miramichi, USA, efter det att skogen besprutats med DDT. Vidare blev laxbestånd helt utraderade i åtminstone fyra av British Colombias viktigaste vattendrag efter DDT-besprutning av den intilliggande skogen. Bara för att ta några exempel. (Läs mer om DDT i kapitel 6:4.)
Det blev också känt att även DDT och dess nedbrytningsprodukter hittades nästan överallt, även långt, långt ifrån ställen där medlet användes. Som i pingviner på Antarktis. Och DDT var inte det enda bekämpningsmedlet som användes i hejdlösa mängder. Hela samhällen dränktes nästan bokstavligt talat av medlen via flygbesprutning.
En uppmärksammad händelse inträffade 1963 i Smarden i Storbritannien. Fluoroacetamide från en fabrik hade släppts ut i vattendrag som boskap drack ur. Många av djuren dog och ett omfattande saneringsarbete krävdes. Hundratals ton kontaminerad jord lastades i tunnor med cement och sänktes i havet som brukligt var på den tiden.
2:5 Surt regn
I takt med att industrialiseringen sköt fart gjorde förstås utsläppen från de fossila bränslena detsamma. Fram till 1970 ökade de i princip exponentiellt.

Effekterna av svavelutsläppen i trakterna runt Manchester hade dokumenterats av Robert Angus Smith redan i mitten på 1800-talet. I en bok från 1872 myntade han termen surt regn, baserat på att utsläppen innehöll svaveldioxid som reagerade med vatten och bildade svavelsyra som kunde fräta sönder marmorstatyer.
I början på 1900-talet hade fångsterna av lax minskat i Norge och 1927 la en norsk professor, Knut Dahl, fram en hypotes att det kunde bero på försurning av ytvatten. En annan norrman, Alf Dannevig, beskrev i en artikel från 1959 hur vattendragens pH kunde påverkas av nederbörden.[8] En kanadensisk forskare, Eville Gorham, kunde via fältstudier mellan åren 1955 och 1963 också kartlägga sambandet mellan utsläppen och försurning i naturen. Detta fick dock inget större genomslag, varken hos deras forskarkollegor eller hos politiker och allmänhet.
I Sverige studerade forskaren Svante Odén situationen i Skandinavien. Hans data visade att nederbörden hade blivit rejält mycket surare vilket också påverkade miljön. Han menade att utsläppen i huvudsak kom från industrin i Europa.
1967 skrev han en artikel i Dagens Nyheter där han beskrev detta och den fick enorm uppmärksamhet. Inte minst för att han så tydligt beskrev att utsläppen hade en problematik som spände långt över landsgränser. De skandinaviska länderna kunde inte själva göra något åt de utsläpp som tung industri i Europa orsakade.
Det finns mängder av undersökningar och rapporter som beskriver hur fiskbestånd har påverkats negativt av försurning[9]. Hela bestånd raderades i Skandinavien under denna tid.
Svenska och norska politiker började driva denna fråga hårt och många anser att Odéns artikel var en starkt bidragande faktor till att FN:s miljöprogram startade i och med Stockholmskonferensen 1972.
[1] Norberg, Johan, Rubriker som gör oss rädda, Timbro, oktober 2005 ISBN 91-7566-593-X https://timbro.se/app/uploads/2017/01/917566593x.pdf
[2] Schneider, Stephen, Don’t Bet All Environmental Changes Will Be Beneficial, APS News, 1996, volume 5 number 8 https://www.aps.org/publications/apsnews/199608/environmental.cfm
[3] Kema Nord dumpade flest gifttunnor, Sundsvalls tidning, 2006-08-31 https://www.st.nu/2006-08-31/kema-nord-dumpade-flest-gifttunnor
[4] Haagen-Smit, Industrial and Engineering Chemistry, Vol. 44, No. 6, 1952 https://web.archive.org/web/20170308044020/https://pdfs.semanticscholar.org/1f18/64424a52955b607781d45f007ed8fd1b8002.pdf
[5] Smith, D, Fifty Years of Clearing the Skies, Caltech, 2013-04-25 https://www.caltech.edu/about/news/fifty-years-clearing-skies-39248 ; Bonner, A Biographical Memoir Arie J. Haagen-Smit, National Academy of Sciences 1989 https://authors.library.caltech.edu/114590/1/haagen-smit-arie.pdf
[6] Jensen, Sören The PCB Story, Ambio, Vol. 1, No. 4 (Sep., 1972), pp. 123-131
[7] Yoshimura T. Yusho in Japan. Ind Health. 2003 Jul;41(3):139-48. doi: 10.2486/indhealth.41.139. PMID: 12916743
[8] Dannevig A. Influence of precipitation on river acidity and fish populations. Jeger og Fisker. 1959;3:116–118; Grennfelt P, Engleryd A, Forsius M, Hov Ø, Rodhe H, Cowling E. Acid rain and air pollution: 50 years of progress in environmental science and policy. Ambio. 2020 Apr;49(4):849-864. doi: 10.1007/s13280-019-01244-4
[9] Se referenser i Havs- och vattenmyndighetens rapport 2015:23: Erik Degerman, Erik Petersson och Björn Bergquist, Effekter av kalkning på fisk i rinnande vatten, ISBN 978-91-87025-96-9 https://www.havochvatten.se/download/18.2daa1277152c4afdb30da92/1455092993769/rapport-2015-23-kalk-elfiske.pdf




















Från: “Anthropogenic Sulfur Dioxide Emissions:1850-2005” by S. J. Smith, et al. 



